
流速流量設備
LSC系列箱式時差法明渠流量計
一、產品簡介
1.1 概述
LSC-XX系列超聲波箱式時差法明渠流量計是徐州市偉思水務科技有限公司依據SL/186-1997《超聲波流速儀》、GB/T11826.2-2012《流速流量儀器第2部份:聲學流速儀》、GB/T21303-2007《灌溉渠道系統量水規范》等國家規范,自行研制與生產的一款針對明渠渠道流量檢測的專業設備,具備測量精度較高、安裝與維護簡單和使用壽命長等特點。
1.2 工作原理
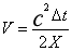
多層時差法流速儀是利用多組超聲波換能器分層(每層一對)安裝于灌渠二側。通過采集控制器分時的控制每層的超聲波換能器相向交替收發超聲波。通過檢測超聲波在水中順流和逆流傳播的時間差來間接的算出水的流速。其每層的流速為:
式中:V為層流速,C為超聲波在水中的傳播速度,△t為超聲波在該層順逆流的時差,X為同層的超聲波換能器在水流方向上的距離。
通過分層的算出各自的流速進而可以算出該斷面的平均流速,采集儀得到這個流速后結合液位傳感器測出的液位及箱體的固有尺寸算出過流斷面積進而計算出斷面的流量。
1.3 設備組成
本套測流設備主要由箱式超聲波明渠流量計(內含多對超聲波換能器、采集控制器、高精度電子水尺)、傳輸模塊和供電單元組成。
1.4 產品特點
我司通過對國內外諸多廠家的明渠測流設備功能與特點的統計與分析,總結出普遍存在諸多問題后(如:渠道結構多樣性、水質較差,漂浮物較多、淤泥沉淀和阻水等情況),為了能解決傳統產品的局限性,針對性的設計與研發了本測流系統,經過在諸多項目中的實際應用,取得了極佳的應用效果。
多層次結構:本測流系統采用多層結構,通過測量不同水深的層流速,并多次取值,通過數據建模方式用數學的方法求得平均流速,具有極高的準確性;
箱式結構:多層超聲波換能器組和水位計及采集控制器均嵌入一個箱體內免去了現場安裝時需要換能器對準與接線的難度,同時箱體的入水口采用喇叺口式結構起到不阻水、減少水草、漂浮物等附著,大大減少了維護工作量;
由于本測流系統采用多層傳感器結構,運行一段時間后可建立層流速分布模型,即使某層出現故障本設備依舊可以正常的工作。
所用超聲波換能器采用大功率驅動,具有超強的信號發送能力和較高的接收靈敏度,在較惡劣的環境下也能正常工作。
防護等級:水下工作設備均采用IP68防護。
二、型號規格與技術參數
1. 型號規格見下表:
|
型號 |
寬 (內徑mm) |
高 (內徑mm) |
長 mm |
最低有效液位 高度(mm) |
最小流量 (m3/s) |
最大流量 (m3/s) |
換能器 對數 |
|
LSC-40 |
400 |
400 |
816 |
100 |
0.0004 |
0.48 |
8 |
|
LSC-60 |
600 |
600 |
816 |
100 |
0.0006 |
1.08 |
12 |
|
LSC-80 |
800 |
800 |
816 |
100 |
0.0008 |
1.92 |
16 |
|
LSC-10 |
1000 |
1000 |
816 |
100 |
0.001 |
3.0 |
20 |
|
LSC-12 |
1200 |
1200 |
816 |
100 |
0.0012 |
4.32 |
24 |
|
LSC-14 |
1400 |
1400 |
816 |
100 |
0.0014 |
5.88 |
定制 |
|
LSC-16 |
1600 |
1600 |
816 |
100 |
0.0016 |
7.68 |
定制 |
2.1、測量渠寬:0.4米∽1.6米(見規格型號表)
2.2、測量渠深:0.4米∽1.6米(見規格型號表)
2.3、流量沒量范圍:見規格型號表
2.4、測量誤差:±2%
2.5、標定方式:出廠前實流標定
2.6、水位測量:高精度電子水尺、誤差:±2.5mm
2.7、供電電源:DC12V
2.8、功耗:不大于30mA(不含電子水尺),不大于40mA(含電子水尺)
2.9、通訊接口:RS485 MODBUS協議
2.10、防護等級:IP68。











